分享成功

五一翰墨致敬劳动者

 

🔥【五一翰墨致敬劳动者】

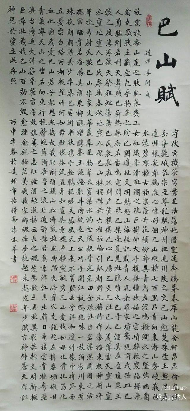
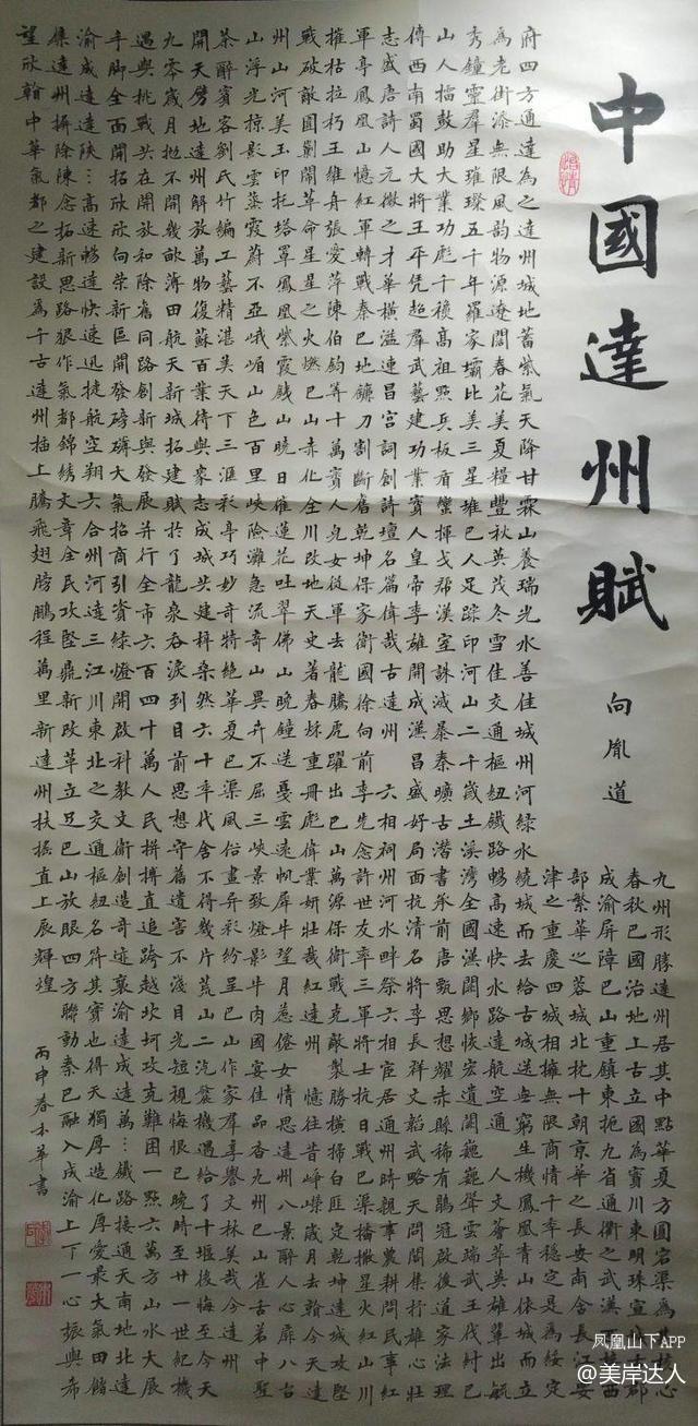
今天带大家认识一位特别的“笔墨劳动者”——80岁的李本华先生。

       从开江的田埂上以地为席练字,到工程师岗位上严谨钻研,再到退休后把墨香当成日常,一辈子都在和笔墨打交道。

       他把魏碑的雄强揉进楷书里,字里行间都是老党员的风骨,还有几十年如一日的踏实劲儿。

       五一假期,一起来看看这位老书者笔下的风骨吧!

 

 

 

 

 

 

 

 

 

 

 

 

 

 

 

 

 

 

 

本文来自网友发表,不代表本网站观点和立场,如存在侵权问题,请与本网站联系处理!(善语结善缘,恶言伤人心)
热门评论
  • 泡沫 LV1 秀女
    2楼
    80岁老者笔墨传风骨,劳动精神熠熠生辉
    4-30 11:41
    回复
打开凤凰山下APP,与楼主互动
你的热评
游客
发表评论
最热山友圈
  • 游客可以上东兴口岸二桥国门顶楼上去观光,可以看到大量的从越南过来的货车正在排队通关,也可以俯瞰东兴市区。 #每日新分享# #回忆那些在路上的日子#

    想半天

    23
  • 比起阴天晴天下雨天, 我更喜欢离放假只剩一天。 #心情日志#

    江城大余

    23
  • #每日新分享#

    曾国斌1314

    21
  • #每日新分享#

    曾国斌1314

    20
  • #每日新分享#

    曾国斌1314

    20
  • 晚八点一分

    痴情贱男

    19
  • 春,你说不出它带给你的是什么,只觉得整个儿是一段从萧索到繁荣的挣扎,是人对自然的耐力与生存意志的严酷考验,是非常痛苦的一个过程。 当一切完成之后,那份对新生的茫然,却如大梦初醒——要重新认识这世界和自己所站立的位置了。

    ★四川省乡情会

    19
  • #城市印象##凤凰山下求脱单#社会应该管一管,属不属于以前的流氓罪。

    青蛙大哥

    19
  • 风吹麦浪 绿树成荫 这初夏 是你的模样 ​ ​双流|彭镇·布达路

    笑聲蘊藏的記憶

    18
  • 生命的列车 岁月像一条河 生命的列车风驰电掣 车上的人 谈笑风生 不经意 有人连手 都没挥 就下了车 一个个 熟悉的面孔 那么鲜活 尽管有 那么多 不如意 只要在车上 你就是 胜利者 别祈求 大富大贵 平安喜乐 就是幸福 生命的列车 承载着希望 穿越黑暗 走向黎明 太阳照列 从地平线上升起 唱响生命的凯歌 梦想 在远方 歌唱着 去远航 命运微笑着 绽放 芬芳着人们的日子 其实 人生是一次旅行 有人陪你到终点 有人狠心丢下你 你在车上唱歌跳舞 即使伤残 依然闪烁 生命的光 你是幸运者 即使搭错车 也没有 沮丧的理由 随着剧情 在生命列车上 演绎 生命的故事 阳光正好 心情舒畅 看着一个个 车站 一扫而过 感慨很多 命贵 从贱地自达 命贱 从富地自危 王充的哲理很深刻 许家印是活生生例子 生命的列车 承载着 不同的色彩 给足了 生命的底色 只要 不蹉跎 自驾喜乐

    ★四川省乡情会

    18
热点推荐

安装应用

随时关注身边时事,认识有趣的人

免费下载凤凰山下
这是app专享内容啦!
你可以下载app,更多精彩任你挑!
绑定手机才能继续哦!
绑定手机账号更安全哦!
绑定手机才能继续哦!
绑定手机账号更安全哦!